
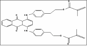
1,4-Bis[4-(2-methacryloxyethyl)phenylamino]-9,10-anthraquinone CAS # : 121888-69-5 Synonyms: RB246, Reactive Blue 246 Appearance: Dark blue crystal powder Molecular Formula: C38H34N2O6 Purity: 97% Production Capacity: 50kg/month MSDS is available for more information. 1,4-Bis[(2-methacryloxyethyl)amino]-9,10-anthraquinone CAS # : 109561-07-1 Synonyms: RB247, Reactive Blue 247 1,4-bis[(2-hydroxyethyl)amino]-9,10-anthracenedione- bis(2-methyl-2-propenoic) ester Appearance Dark blue crystal powder Molecular Formula: C26H26N2O6 Purity: 97% Production Capacity 50kg/month MSDS is available for more information. |

Blue/Green Tint - RB246 and Blue Tint RB247 Optical grade for contact lens & IOL applications |
| Special Products |

Product List |


| The Professional Support of Pharmaceuticals and Biomaterials |